GBDT(梯度提升树)

Apr 25, 2024
1 views
Machine Learning

GBDT (Gradient Boosting Decision Tree) 是另一种基于 Boosting 思想的集成算法,除此之外 GBDT 还有很多其他的叫法,例如:GBM (Gradient Boosting Machine),GBRT (Gradient Boosting Regression Tree),MART (Multiple Additive Regression Tree) 等等。GBDT 算法由 3 个主要概念构成:Gradient Boosting (GB),Regression Decision Tree (DT 或 RT) 和 Shrinkage。

0. Decision Tree:CART回归树

首先,GBDT使用的决策树是CART回归树,无论是处理回归问题还是二分类以及多分类,GBDT使用的决策树通通都是都是CART回归树。为什么不用CART分类树呢?因为GBDT每次迭代要拟合的是梯度值,是连续值所以要用回归树。对于回归树算法来说最重要的是寻找最佳的划分点,那么回归树中的可划分点包含了所有特征的所有可取的值。在分类树中最佳划分点的判别标准是熵或者基尼系数,都是用纯度来衡量的,但是在回归树中的样本标签是连续数值,所以再使用熵之类的指标不再合适,取而代之的是平方误差,它能很好的评判拟合程度。

回归树生成算法:

输入:训练数据集\(D\)

输出:回归树\(f ( x )\)

在训练数据集所在的输入空间中,递归的将每个区域划分为两个子区域并决定每个子区域上的输出值,构建二叉决策树:

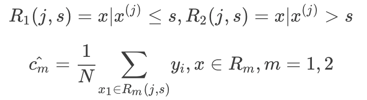
(1)选择最优切分变量\(j \(与切分点\)s\),求解

image

遍历变量\(j\),对固定的切分变量\(j\)扫描切分点\(s\),选择使得上式达到最小值的对\(( j , s )\)

(2)用选定的对$( j , s ) $划分区域并决定相应的输出值:

image

(3)继续对两个子区域调用步骤(1)和(2),直至满足停止条件。

(4)将输入空间划分为\(M\)个区域 $R_1 , R_2 , . . . R_M $,生成决策树:

image

例子:

训练数据见下表,x的取值范围为区间[0.5,10.5],y的取值范围为区间[5.0,10.0],学习这个回归问题的最小二叉回归树。

求解训练数据的切分点s:

\[ R_1=\{x|x\leq s\}\ \ \ \ \ \ \ R_2=\{x|x>s\} \]

容易求得在\(R_1\)\(R_2\)内部使得平方损失误差达到最小值的c1、c2为:

\[ c_1=\frac{1}{N_1}\sum_{x_i\in R_1}y_i \ \ \ \ c_2=\frac{1}{N_2}\sum_{x_i\in R_2}y_i \]

这里\(N_1\)\(N_2\)\(R_1\)\(R_2\)的样本点数。

求训练数据的切分点,根据所给数据,考虑如下切分点:

1.5,2.5,3.5,4.5,5.5,6.5,7.5,8.5,9.5。

对各切分点,不难求出相应的\(R_1、R_2、c_1、c_2\)

\[ m(s)=\mathop{min}\limits_{j,s}\left[\mathop{min}\limits_{c_1}\sum_{x_i\in R_1(j,s)}(y_i-c_1)^{2}+\mathop{min}\limits_{c_2}\sum_{x_i\in R_2(j,s)}(y_i-c_2)^{2}\right] \]

例如,当s=1.5时,\(R_1={1}\)\(R_2={2,3,...,10}\)\(c_1=5.56,c_2=7.50\),则

\[ m(s)=\mathop{min}\limits_{j,s}\left[\mathop{min}\limits_{c_1}\sum_{x_i\in R_1(j,s)}(y_i-c_1)^{2}+\mathop{min}\limits_{c_2}\sum_{x_i\in R_2(j,s)}(y_i-c_2)^{2}\right]=0+15.72 = 15.72 \]

现将s及m(s)的计算结果列表如下:

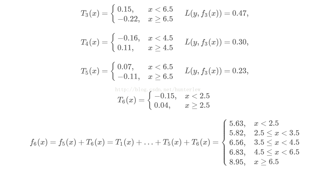
由上表可知,当x=6.5的时候达到最小值,此时\(R_1={1,2,...,6}\)\(R_2={7,8,9,10}\)\(c_1=6.24\)\(c_2=8.9\),所以回归树T1(x)为:

\[ T_1(x)=\left\{ \begin{aligned} 6.24, & x<6.5 \\ 8.91, &x\geq6.5 \end{aligned} \right.\\f_1(x)=T_1(x) \]

\(f_1(x)\)拟合训练数据的残差见下表,表中\(r_i=y_i-f_1(x_i),i=1,2,...,10\)

第2步求\(T_2(x)\)方法与求\(T_1(x)\)一样,只是拟合的数据是上表的残差,可以得到:

\[ T_2(x)=\left\{ \begin{aligned} -0.52, & x<3.5 \\ 0.22, &x\geq3.5 \end{aligned} \right.\\f_2(x)=T_2(x)+f_1(x)=\left\{ \begin{aligned} 5.72, & x<3.5 \\ 6.46, &3.5\leq x<6.5\\ 9.13, &x\geq 6.5 \end{aligned} \right. \]

继续求得

image

可以用拟合训练数据的平方损失误差等来作为结束条件。此时

image

假设此时已经满足误差要求,那么f(x)=f6(x)即为所求的回归树。

1. GBDT概述

GBDT也是集成学习Boosting家族的成员,但是却和传统的Adaboost有很大的不同。回顾下Adaboost,我们是利用前一轮迭代弱学习器的误差率来更新训练集的权重,这样一轮轮的迭代下去。GBDT也是迭代,使用了前向分布算法,但是弱学习器限定了只能使用CART回归树模型,同时迭代思路和Adaboost也有所不同。

对于 Gradient Boosting 而言,首先,Boosting 并不是 Adaboost 中 Boost 的概念,也不是 Random Forest 中的重抽样。在 Adaboost 中,Boost 是指在生成每个新的基学习器时,根据上一轮基学习器分类对错对训练集设置不同的权重,使得在上一轮中分类错误的样本在生成新的基学习器时更被重视。GBDT 中在应用 Boost 概念时,每一轮所使用的数据集没有经过重抽样,也没有更新样本的权重,而是每一轮选择了不同的回归目标,即上一轮计算得到的残差 (Residual)。其次,Gradient 是指在新一轮中在残差减少的梯度 (Gradient) 上建立新的基学习器。

在GBDT的迭代中,假设我们前一轮迭代得到的强学习器是\(f_{t−1}(x)\), 损失函数是\(L(y,f_{t−1}(x))\), 我们本轮迭代的目标是找到一个CART回归树模型的弱学习器\(h_t(x)\),让本轮的损失函数\(L(y,f_t(x))=L(y,f_{t−1}(x)+h_t(x))\)最小。也就是说,本轮迭代找到决策树,要让样本的损失尽量变得更小。

GBDT的思想可以用一个通俗的例子解释,假如有个人30岁,我们首先用20岁去拟合,发现损失有10岁,这时我们用6岁去拟合剩下的损失,发现差距还有4岁,第三轮我们用3岁拟合剩下的差距,差距就只有一岁了。如果我们的迭代轮数还没有完,可以继续迭代下面,每一轮迭代,拟合的岁数误差都会减小。

从上面的例子看这个思想还是蛮简单的,但是有个问题是这个损失的拟合不好度量,损失函数各种各样,怎么找到一种通用的拟合方法呢?

2. GBDT的负梯度拟合

在上一节中,我们介绍了GBDT的基本思路,但是没有解决损失函数拟合方法的问题。针对这个问题,大牛Freidman提出了用损失函数的负梯度来拟合本轮损失的近似值,进而拟合一个CART回归树。第t轮的第i个样本的损失函数的负梯度表示为

\[ r_{ti} = -\bigg[\frac{\partial L(y_i, f(x_i)))}{\partial f(x_i)}\bigg]_{f(x) = f_{t-1} (x)} \]

利用\((x_i,r_{ti})(i=1,2,..m)\),我们可以拟合一颗CART回归树,得到了第t颗回归树,其对应的叶节点区域\(R_{tj},j=1,2,...,J\)。其中J为叶子节点的个数。

针对每一个叶子节点里的样本,我们求出使损失函数最小,也就是拟合叶子节点最好的的输出值\(c_{tj}\)如下:

\[ c_{tj} = \underbrace{arg\; min}_{c}\sum\limits_{x_i \in R_{tj}} L(y_i,f_{t-1}(x_i) +c) \]

这样就得到了本轮的决策树拟合函数如下:

\[ h_t(x) = \sum\limits_{j=1}^{J}c_{tj}I(x \in R_{tj}) \]

从而本轮最终得到的强学习器的表达式如下:

\[ f_{t}(x) = f_{t-1}(x) + \sum\limits_{j=1}^{J}c_{tj}I(x \in R_{tj}) \]

通过损失函数的负梯度来拟合,我们找到了一种通用的拟合损失误差的办法,这样无轮是分类问题还是回归问题,我们通过其损失函数的负梯度的拟合,就可以用GBDT来解决我们的分类回归问题。区别仅仅在于损失函数不同导致的负梯度不同而已。

3. GBDT回归算法

好了,有了上面的思路,下面我们总结下GBDT的回归算法。为什么没有加上分类算法一起?那是因为分类算法的输出是不连续的类别值,需要一些处理才能使用负梯度,我们在下一节讲。

输入是训练集样本\(T=\{(x_1,y_1),(x_2,y_2),...(x_m,y_m)\}\), 最大迭代次数T, 损失函数L。

输出是强学习器\(f(x)\)

1) 初始化弱学习器(常数c)

\[ f_0(x) = \underbrace{arg\; min}_{c}\sum\limits_{i=1}^{m}L(y_i, c) \]

2) 对迭代轮数t=1,2,...T有:

3) 得到强学习器f(x)的表达式

\[ f(x) = f_T(x) =f_0(x) + \sum\limits_{t=1}^{T}\sum\limits_{j=1}^{J}c_{tj}I(x \in R_{tj}) \]

4. GBDT分类算法

再看看GBDT分类算法,GBDT的分类算法从思想上和GBDT的回归算法没有区别,但是由于样本输出不是连续的值,而是离散的类别,导致我们无法直接从输出类别去拟合类别输出的误差。

为了解决这个问题,主要有两个方法,一个是用指数损失函数,此时GBDT退化为Adaboost算法。另一种方法是用类似于逻辑回归的对数似然损失函数的方法。也就是说,我们用的是类别的预测概率值和真实概率值的差来拟合损失。本文仅讨论用对数似然损失函数的GBDT分类。而对于对数似然损失函数,我们又有二元分类和多元分类的区别。

4.1 二元GBDT分类算法

对于二元GBDT,如果用类似于逻辑回归的对数似然损失函数,则损失函数为:

\[ L(y, f(x)) = log(1+ exp(-yf(x))) \]

其中\(𝑦∈\{−1,+1\}\)。则此时的负梯度误差为

\[ r_{ti} = -\bigg[\frac{\partial L(y, f(x_i)))}{\partial f(x_i)}\bigg]_{f(x) = f_{t-1}\;\; (x)} = \frac{y_i}{(1+exp(y_if(x_i)))} \]

对于生成的决策树,各个叶子节点的最佳负梯度拟合值为

\[ c_{tj} = \underbrace{arg\; min}_{c}\sum\limits_{x_i \in R_{tj}} log(1+exp(-y_i(f_{t-1}(x_i) +c))) \]

由于上式比较难优化,我们一般使用近似值代替

\[ c_{tj} = \sum\limits_{x_i \in R_{tj}}r_{ti}\bigg /  \sum\limits_{x_i \in R_{tj}}|r_{ti}|(1-|r_{ti}|) \]

除了负梯度计算和叶子节点的最佳负梯度拟合的线性搜索,二元GBDT分类和GBDT回归算法过程相同。

4.2 多元GBDT分类算法

多元GBDT要比二元GBDT复杂一些,对应的是多元逻辑回归和二元逻辑回归的复杂度差别。假设类别数为K,则此时我们的对数似然损失函数为:

\[ L(y, f(x)) = -  \sum\limits_{k=1}^{K}y_klog\;p_k(x) \]

其中如果样本输出类别为k,则\(𝑦_𝑘=1\)。第k类的概率\(𝑝_𝑘(𝑥)\)的表达式为:

\[ p_k(x) = exp(f_k(x)) \bigg / \sum\limits_{l=1}^{K} exp(f_l(x)) \]

集合上两式,我们可以计算出第𝑡轮的第𝑖个样本对应类别𝑙的负梯度误差为

\[ r_{til} = -\bigg[\frac{\partial L(y_i, f(x_i)))}{\partial f(x_i)}\bigg]_{f_k(x) = f_{l, t-1}\;\; (x)} = y_{il} - p_{l, t-1}(x_i) \]

观察上式可以看出,其实这里的误差就是样本\(i\)对应类别\(l\)的真实概率和\(t−1\)轮预测概率的差值。

对于生成的决策树,我们各个叶子节点的最佳负梯度拟合值为

\[ c_{tjl} = \underbrace{arg\; min}_{c_{jl}}\sum\limits_{i=0}^{m}\sum\limits_{k=1}^{K} L(y_k, f_{t-1, l}(x) + \sum\limits_{j=0}^{J}c_{jl} I(x_i \in R_{tjl})) \]

由于上式比较难优化,我们一般使用近似值代替

\[ c_{tjl} =  \frac{K-1}{K} \; \frac{\sum\limits_{x_i \in R_{tjl}}r_{til}}{\sum\limits_{x_i \in R_{til}}|r_{til}|(1-|r_{til}|)} \]

除了负梯度计算和叶子节点的最佳负梯度拟合的线性搜索,多元GBDT分类和二元GBDT分类以及GBDT回归算法过程相同。

5. GBDT的正则化