
超多分类的Softmax
2014年CVPR两篇超多分类的人脸识别论文:DeepFace和DeepID
DeepFace
- Taigman Y, Yang M, Ranzato M A, et al. Deepface: Closing the gap to human-level performance in face verification [C]// CVPR, 2014.

4.4M训练集,训练6层CNN + 4096特征映射 + 4030类Softmax,综合如3D Aligement, model ensembel等技术,在LFW上达到97.35%。
DeepID
- Sun Y, Wang X, Tang X. Deep learning face representation from predicting 10,000 classes [C]// CVPR, 2014.

20W训练集,训练4层CNN + 160维特征映射 + 10000类Softmax,加多尺度多patch特征,加Joint Bayesian分类器,在LFW上达到97.45%。
以上两个早期深度人脸识别方法,框架为CNN + Softmax,以“超多分类”这样一种比较难的任务训练CNN,强迫网络在第一个FC层形成比较紧凑的,判别力很强的深度人脸特征,之后用于人脸识别。
Softmax优缺点

Softmax是soft(软化)的max。在CNN的分类问题中,我们的ground truth是one-hot形式,下面以四分类为例,理想输出应该是(1,0,0,0),或者说(100%,0%,0%,0%),这就是我们想让CNN学到的终极目标。
网络输出的幅值千差万别,输出最大的那一路对应的就是我们需要的分类结果。通常用百分比形式计算分类置信度,最简单的方式就是计算输出占比,假设输出特征是\((x_1,x_2,x_3,x_4)\),这种最直接最最普通的方式,相对于soft的max,在这里我们把它叫做hard的max:
而现在通用的是soft的max,将每个输出x非线性放大到exp(x),形式如下:
hard的max和soft的max到底有什么区别呢?看几个例子

相同输出特征情况,soft max比hard max更容易达到终极目标one-hot形式,或者说,softmax降低了训练难度,使得多分类问题更容易收敛。
到底想说什么呢?Softmax鼓励真实目标类别输出比其他类别要大,但并不要求大很多。对于人脸识别的特征映射(feature embedding)来说,Softmax鼓励不同类别的特征分开,但并不鼓励特征分离很多,如上表(5,1,1,1)时loss就已经很小了,此时CNN接近收敛梯度不再下降。
Softmax Loss训练CNN,MNIST上10分类的2维特征映射可视化如下:

不同类别明显分开了,但这种情况并不满足我们人脸识别中特征向量对比的需求。人脸识别中特征向量相似度计算,常用欧式距离(L2 distance)和余弦距离(cosine distance),我们分别讨论这两种情况:
-
L2距离:L2距离越小,向量相似度越高。可能同类的特征向量距离(黄色)比不同类的特征向量距离(绿色)更大

-
cos距离:夹角越小,cos距离越大,向量相似度越高。可能同类的特征向量夹角(黄色)比不同类的特征向量夹角(绿色)更大

总结来说:
- Softmax训练的深度特征,会把整个超空间或者超球,按照分类个数进行划分,保证类别是可分的,这一点对多分类任务如MNIST和ImageNet非常合适,因为测试类别必定在训练类别中。
- 但Softmax并不要求类内紧凑和类间分离,这一点非常不适合人脸识别任务,因为训练集的1W人数,相对测试集整个世界70亿人类来说,非常微不足道,而我们不可能拿到所有人的训练样本,更过分的是,一般我们还要求训练集和测试集不重叠。
- 所以需要改造Softmax,除了保证可分性外,还要做到特征向量类内尽可能紧凑,类间尽可能分离。
双约束的Loss Function
- Sun Y, Chen Y, Wang X, et al. Deep learning face representation by joint identification-verification [C]// NIPS, 2014.
- Sun Y, Wang X, Tang X. Deeply learned face representations are sparse, selective, and robust [C]// CVPR, 2015.
- Sun Y, Liang D, Wang X, et al. Deepid3: Face recognition with very deep neural networks [J]. arXiv, 2015.
Contrastive Loss

DeepID2, DeepID2+, DeepID3都在采用Softmax + Contrastive Loss,Contrast Loss是:

同类特征的L2距离尽可能小,不同类特征的L2距离大于margin(间隔) m,Contrastive Loss同时约束类内紧凑和类间分离。25个patch训练25个CNN,特征联合后PAC降维,训练Joint Bayesian分类,在LFW上Softmax + Contrast Loss的DeepID2达到99.15%,多层加监督信息的DeepID2+达到99.47,采用更大的deep CNN的DeepID3达到99.53%。DeepID系列是早期的深度学习人脸识别方法,但代码都没有开源,而且深度特征是多patch联合,还要训练分类器,繁琐不实用。
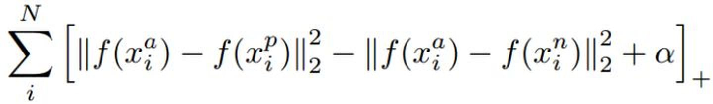
Triple Loss
- Schroff F, Kalenichenko D, Philbin J. Facenet: A unified embedding for face recognition and clustering [C]// CVPR, 2015.

FaceNet是目前引用量最高的人脸识别方法,没有用Softmax,而是提出了Triple Loss:

以三元组(a, p, n)形式进行优化,不同类特征的L2距离要比同类特征的L2距离大margin m,同时获得类内紧凑和类间分离。FaceNet用200M训练数据,仅128维特征映射,在LFW上达到了99.63%,非常犀利。但代码、模型和训练数据集都没有开源,三元组选择极具技巧性,复现非常困难。好文推荐!
Largin Angular margin
L-Softmax
- Liu W, Wen Y, Yu Z, et al. Large-Margin Softmax Loss for Convolutional Neural Networks [C]// ICML, 2016.

L-Softmax是Large-Margin Softmax Loss,是large margin系列的开创算法,首先联合FC + Softmax + Cross-entropy重新并给出了Softmax loss的表达式:

然后加强分类条件,强制让对应类别的W和x夹角增加到原来的m倍,因为m是正整数,cos函数在0到\(π\) 范围又是单调递减的,所以cos(mx)要小于cos(x)。m值越大则学习的难度也越大,这也就是上图中那几个图代表不同m值的意思。因此通过这种方式定义损失会逼得模型学到类间距离更大的,类内距离更小的特征。
下面看到的长得比较复杂的 \(\psi(\theta)\)是 \(cos(m\theta)\) 的单调函数版本:


L-Softmax仅显式约束类间分离,0.49M小训练集训练17层CNN,在LFW上达到了98.71。
A-Softmax
- Liu W, Wen Y, Yu Z, et al. SphereFace: Deep Hypersphere Embedding for Face Recognition [C]// CVPR. 2017.
SphereFace是L-Softmax的改进 ,归一化了权值W,让训练更加集中在优化深度特征映射和特征向量角度上,降低样本数量不均衡问题,提出了A-Softmax(angular softmax):
L-Softmax和SphereFace都采用乘性margin使不同类别更加分离,特征相似度都采用cos距离,而且都开源代码非常良心。需要注意这两个loss直接训练很难收敛,实际训练中都用到了退火方法(annealing optimization strategy):

从Softmax逐渐退火到L-Softmax或A-Softmax,难以训练我猜测可能是因为这个乘性margin太难了。因为SphereFace中m=4,即夹角要增大到原来的四倍,难度太大导致很难收敛,而采用退火方法后,最终等价于m=1.5,相当于降低了训练难度。
Center Loss
- Wen Y, Zhang K, Li Z, et al. A discriminative feature learning approach for deep face recognition [C]// ECCV, 2016.

Center Loss 为每个类别学习一个中心,并将每个类别的所有特征向量拉向对应类别中心,联合Softmax一起使用:

Center Loss在Softmax的基础上,仅显式约束类内紧凑,0.7M训练数据7层CNN在LFW上达到了99.28,对照SphereFace论文,0.49M训练数据64层CNN在LFW上是99.05,在大型测试集MegaFace上也做到了small的SOTA。开源代码非常良心,但Center Loss为每个类别需要保留一个类别中心,当类别数量很多(>10000)时,这个内存消耗非常可观,对GPU的内存要求较高,而且这也导致caffemodel比较大。
由于类内紧凑约束用了L2距离,所以我觉得特征相似度度量应该用L2距离,但论文中用了cos距离,这一点有些疑惑。
其他加约束LOSS
- Wu Y, Liu H, Li J, et al. Deep Face Recognition with Center Invariant Loss [C]// ACM MM workshop, 2017.

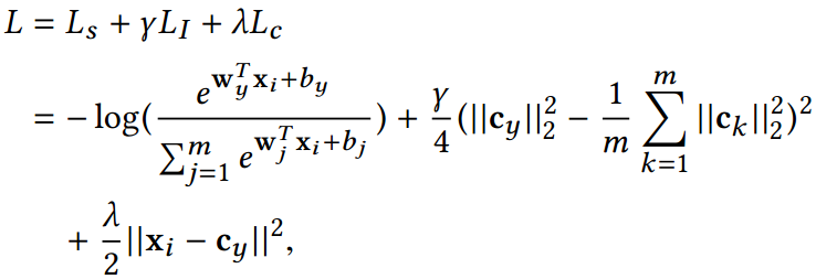
Center Invariant Loss:首先证明了训练样本多的类别,Softmax训练后特征区域会更大,这就是训练集类别不均衡导致的分类倾向问题,Center invariant loss联合Softmax + Center loss一起使用:

除了Center loss每个类都拉向类别中心,额外约束每个类的类别中心都拉向一个固定半径的超球上,这个半径是所有类别中心的模均值,减轻类别不均衡带来的特征区域差异。没有源码不推荐。
- Zhang X, Fang Z, Wen Y, et al. Range loss for deep face recognition with long-tail [C]// ICCV, 2017.

Range loss:首先证明了训练集的长尾分布(Long tail distribution)会影响训练模型的性能,然后针对训练集的长尾分布提出,类似Contrastive Loss提出了Range loss与Softmax一起使用:




Range loss同时约束类内紧凑类间分离,类内紧凑约束为每个类最小化两个最大类内距离,类间分离约束为每次都计算每个类别中心,并使类中心距离最小的两个类别距离大于margin m。依然没有源码不推荐。
Feature Normalization
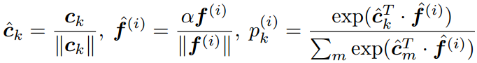
COCO Loss
- Liu Y, Li H, Wang X. Rethinking feature discrimination and polymerization for large-scale recognition [C]// NIPS workshop, 2017.

COCO(congenerous cosine) loss: 归一化了权值c,归一化了特征\(f\),并乘尺度因子\(\alpha\):


L2-Softmax
- Ranjan R, Castillo C D, Chellappa R. L2-constrained softmax loss for discriminative face verification [J]. arXiv:1703.09507, 2017.